Por irregularidades en sus informes de gastos e ingresos, el Instituto Nacional Electoral (INE) impuso multas a partidos políticos nacionales y locales, que, en conjunto, ascienden a los 603 millones 605 mil 350 pesos.
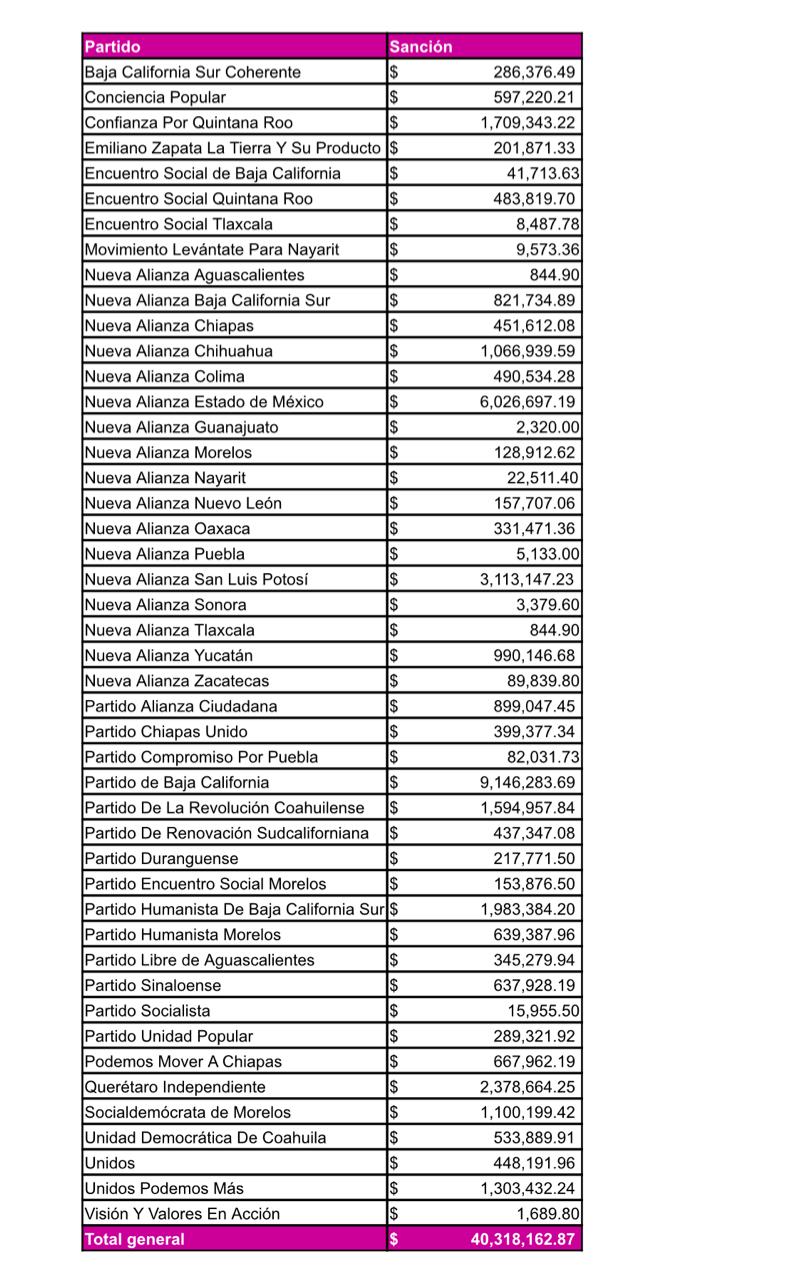
De esa cifra, 563 millones 287 mil 188 pesos corresponden a los ocho partidos con registro a nivel nacional, mientras que 40 millones 318 mil 162 pesos fueron impuestas a 46 partidos locales de las distintas entidades del país.
Este martes, el Consejo General del organismo presentó los informes de fiscalización e los ingresos y gastos de los partidos políticos nacionales y locales correspondiente al ejercicio 2019.
De acuerdo con ese informe, Morena fue el partido que recibió las mayores sanciones económicas, con 174 millones 20 mil 313 pesos por anomalías en sus reportes financieros; seguido por el PRI, con 119 millones 938 mil 760 pesos.

Al respecto, el consejero presidente del INE, Lorenzo Córdova, afirmó que, a cinco años de la instrumentación del modelo de fiscalización en línea en materia electoral, se ha avanzado significativamente en la construcción de un circuito de exigencia financiera que transparente el dinero invertido en la política.
“Lejos han quedado aquellos años de elecciones o de actuación de los partidos políticos caracterizadas por la opacidad financiera, en los que la sociedad mexicana estaba a expensas de lo que quisieran reportar o no los partidos políticos sobre ingresos y sus gastos”, aseveró.
Córdova destacó que, pese a las sanciones impuestas, el objetivo central de la fiscalización no es punitivo.
“Lo que nos interesa es la transparencia en el ejercicio de cada peso invertido en la política, más aún en un contexto tan complejo como el que está atravesando la democracia en México y en el mundo y que se caracteriza por un severo cuestionamiento a la función que juegan los partidos políticos como instrumento de acceso a los poderes públicos”, añadió.
También te puede interesar: Personas nacidas en agosto y septiembre serán funcionarios y funcionarias de casilla en 2021
En tanto, de los partidos locales, los que recibieron el mayor monto de multas fueron el Partido de Baja California, con 9 millones 146 mil 283 pesos, seguido por Nueva Alianza Estado de México, con 6 millones 26 mil 697 pesos.
